Abstract
Background & Objectives: Preoperative fasting, together with surgical trauma, leads to perioperative insulin resistance, increased risk of complications, morbidity, and even mortality in major surgery patients. Oral preoperative carbohydrate loading (PCL) has been shown to reduce postoperative insulin resistance and improve perioperative patient well-being. However, the relatively high volume of currently available PCL, the disparity of total volume prescribed, and the low-rated taste, hinders adherence to, and thus, efficacy of, PCL. This audit investigated the effectiveness and safety of a newly developed, low-volume-high-carbohydrate PCL product (MediDrink OpLoad) on the well-being and postoperative orthostatic hypotension of replacement surgery patients. Patients and Methods: Ninety consecutive hip and knee arthroplasty patients participated a randomized, controlled, open-label, single centre clinical audit. Patients either received MediDrink OpLoad in the evening and in the morning up to 2 hours prior to surgery (n=45) or were instructed to fast and drink clear fluids only from midnight prior to surgery (n=45). Well-being, adherence, and clinical parameters (systolic and diastolic blood pressure, heart rate, symptoms of orthostatic hypertension) were measured. Linear mixed-effects models, likelihood ratio tests, and Benjamini-Hochberg correction were used in the statistical analysis. Results: Twenty-five patients undergoing hip replacement surgery and 20 patients with total knee replacement surgery were included in both patient groups. Compared to preoperative fasting, PCL with MediDrink OpLoad significantly decreased thirst (p=0.001), hunger (p=0.023), anxiety (p=0.023), postoperative intravenous fluids need (p<0.001), and symptoms of orthostatic hypotension at the first mobilisation (p=0.025). The most common AE reported was feeling full (38.1%), followed by bloating (28.6%), burping (14.3%), flatulence (9.5%), and nausea (4.8%). All AE were deemed mild by the treating physicians. Adherence to MediDrink OplOad was 97%. Conclusion: PCL with MediDrink OpLoad generated a high adherence rate so far unreported with other PCL products. Moreover, with improving patients’ well-being, postoperative hypotension, and costs related to intravenous fluid use, PCL with MediDrink OpLoad may serve as an important part of the preoperative preparation of major surgery patients.
Keywords
preoperative carbohydrate loading well-being intravenous fluid need safety adherence hip arthroplasty knee arthroplasty.
Introduction
The traditional preoperative management for surgery patients is fasting from midnight of the evening prior to surgery. Modern medical guidelines, including those from the American Society of Anesthesiologists (ASA) and many National Health Service (NHS) trusts, allow patients to consume clear fluids up to two hours before their scheduled surgery or anaesthetic procedure [1]. The rationale behind this treatment is to decrease the risk of pulmonary aspiration and pneumonia after surgery [2].
Preoperative fasting, in combination with surgical trauma, leads to increased gluconeogenesis, skeletal muscle breakdown, hyperglycaemia, and perioperative insulin resistance [2-4] resulting in increased risk of surgical complications, postoperative morbidity, and mortality [5-7]. Preoperative carbohydrate loading (PCL) has been shown to decrease postoperative insulin resistance [8], and improve perioperative well-being [9,10], while being safe when administered at least 2 hours before elective surgery [11], since after the consumption of 50 g oral carbohydrate load, gastric emptying has been completed within 90 minutes [12].
PCL is recommended by the guidelines of the European Society for Clinical Nutrition and Metabolism (ESPEN) [13,14], the European Society of Anaesthesiology (ESA) [11], the American Society of Anesthesiologists (ASA) [15], the American Society for Enhanced Recovery (ASER) [16] and the Enhanced Recovery After Surgery Society (ERAS) [17]. PCL continues to be recommended across diverse surgical fields, including liver surgery [18], pancreatoduodenectomy [19], gastrointestinal surgery [20], colorectal surgery [21], gastrectomy [22], gynaecologic oncology surgery [23], vulvar and vaginal surgery [24] and cytoreductive surgery [25].
Regarding surgeries affecting different joints, PCL reduced postoperative length of stay and the need for certain narcotic medication in total hip arthroplasty patients [26] and was proven safe even in older patients undergoing total hip or knee arthroplasty [27]. According to recent meta-analyses of clinical studies, oral PCL in patients with arthroplasty may reduce the related complications, decrease postoperative anxiety, thirst, and hunger [28,29].
Some of the guidelines describe clinical studies that used 800 ml of 12.5% carbohydrate solution to be consumed within 5 minutes in the evening prior to surgery, and 400 ml of the same solution in the morning of the surgery [11,13,14,20,21,25]. A meta-analysis of 67 studies involving 6551 patients highlights the lack of standardization in the use of PCL: in 49.3% of the studies PCL was applied the evening before surgery and the morning of surgery but in 47.8% only in the morning of surgery. The mean prescribed carbohydrate concentration was 13.5%, and the total volume prescribed was 648.2 ml [30]. In another study, 400 ml of a carbohydrate solution (2 cans of a 100-kcal solution) was used 2 hours prior to anaesthesia in colorectal cancer surgery patients [31].
Though PCL is deemed beneficial, the volume of the liquid to be consumed may disadvantageously affect adherence to, and thus, effectiveness of the method. The adherence to different PCL protocols widely varies: 71.6% in patients with fresh fracture [32], 81.1% in bariatric surgery patients [33], 66.7% - 87% in colorectal surgery patients [34-36], 71.7% in elective colorectal cancer resection patients [17], 79.4% in open gynaecologic surgery patients [37], and 43% - 88.6% in diabetic patients undergoing surgery [38,39]. Higher compliance (≥80%) to ERAS including PCL has been associated with lower rates of complications, of 30-day hospital readmission, and decreased length of stay [17,33,37]. The main barriers against PCL adherence were early satiety and hyperviscosity of the drinks. Taste was rated only 5.3/10 in an elective colorectal surgery trial [35].
In this audit, the efficacy and safety of and adherence to a low-volume carbohydrate rich drink (MediDrink OpLoad) were investigated. We compared this novel intervention against standard dietary preoperative management (standard preoperative fasting) in a cohort of patients scheduled for elective knee and hip total arthroplasty. Our primary objective was to determine whether this low-volume approach maintains the metabolic benefits of PCL while ensuring superior patient adherence and safety.
Patients and Methods
Consecutive patients at or above the age of 18 years scheduled for total hip or knee replacement at the Practice Plus Group Hospital Barlborough between January and December 2025 were enrolled in the audit. Based on their order of appearance, patients were randomly assigned to either PCL with MediDrink OpLoad, or to standard preoperative dietary management. To ensure surgical consistency, each groups included the same number of patients. Patient demographics and clinical parameters were recorded at baseline, including age, gender, body mass index (BMI), American Society of Anesthesiologists (ASA) physical status classification, mental status, and preoperative ambulation levels.
Patients with pregnancy, diabetes or impaired glucose tolerance, medication influencing insulin sensitivity, >10% weight loss in the past 6 months, active cancer treatment, proven gastrooesophageal reflux, conditions slowing gastric emptying, comorbidity with special dietary requirements, use of oral or parenteral steroid (expect local and inhalation steroids) within 1 month prior to surgery, known intolerance or allergy to any component of MediDrink OpLoad, and participating in any other clinical trial were excluded from the audit.
The audit has been approved by the Practice Plus Group Governance Team. Informed consent has been obtained from all participants.
Preoperative carbohydrate loading with MediDrinkOpLoad
In addition to the standard dietary preoperative protocol, patients receiving PCL had to consume 2 packs of MediDrink OpLoad (400 kcal, 100 g carbohydrates in 400 ml) 1 hour after the last meal at the night prior to surgery, and 1 additional pack (200 kcal, 50 g carbohydrates in 200 ml) within 2 to 3 hours prior to surgery. Patients in the control group were instructed to follow the standard preoperative dietary protocol (not to eat after 00:00 AM on the day of surgery). Patients in each group were encouraged to consume clear liquids, preferably water for more than 2 hours before surgery.
Data collection
The audit process was structured into five distinct clinical visits (Figure 1).

Data on subjective well-being and adverse events were recorded at Visit 2 (1 hour after dinner on the evening preceding surgery), Visit 3 (1 hour prior to surgery), and Visit 4 (prior to the first meal after surgery, well-being only). Evaluation happened with using a 10-point Visual Analogue Scale (VAS), where 0 represented the absence of symptoms and 10 represented the maximum severity. Patients’ self-reported scores were collected for thirst, hunger, anxiety, fatigue, nausea and weakness via a standardised questionnaire. The timing of data collection was structured as follows:
PCL group: Patients completed the questionnaire one hour after consuming the carbohydrate-rich drink, the evening before surgery, and the morning of surgery.
Control group: Patients completed the assessment at two specific intervals: one hour after the final preoperative meal (the evening prior to surgery) and two hours before the scheduled procedure.
Patients in the PCL group used an adverse event reporting questionnaire to record any adverse events such as diarrhoea, constipation, nausea, vomiting, abdominal discomfort, abdominal pain, feeling fullness, burping, flatulence, bloating, regurgitation.
At first mobilisation after surgery (visit 5), systolic and diastolic blood pressure and pulse rate were recorded. Additionally, patients were screened for clinical symptoms of orthostatic hypotension. Orthostatic hypotension was assessed by recording symptoms of blurred vision, dizziness, light-headedness, tremor, muscle weakness, fainting, and confusion upon first rising from bed after surgery. The presence of the symptom was scored as 1 and the absence of the symptom as 0. At the same time, hemodynamic parameters of orthostatic hypotension were assessed. Systolic and diastolic blood pressure as well as heart rate were recorded in both supine and standing positions to monitor orthostatic changes. From a hemodynamic perspective [40], orthostatic hypotension was defined as a decrease in systolic blood pressure of ≥20 mmHg or diastolic blood pressure of ≥10 mmHg within 3 minutes of standing. A heart rate increase of more than 20 beats/min in the standing position was considered a sign of orthostatic hypotension.
Patient adherence to the audit protocol was evaluated using a self-administeredquestionnaire. To verify intake, the investigator quantified the volume of the PCL product consumed. In cases of non-compliance or incomplete consumption, patients were interviewed to identify specific barriers, including forgetfulness, loss of appetite, nausea, vomiting, abdominal pain, diarrhoea, bloating, feeling of fullness, bad taste, malaise.
Upon hospital discharge, total intravenous (IV) fluid requirements and a comparison of pre- and postoperative haemoglobin levels were collected from the patients’ medication charts. Haemoglobin levels were obtained through routine clinical monitoring. Data points were extracted from laboratory tests conducted during the preoperative assessment and on the first postoperative morning.
Statistical analysis
Full models were compared with reduced linear mixed-effects models that excluded the time effect and the treatment-by-time interaction. Likelihood ratio tests were used to calculate p-values associated with the treatment effect and the treatment-by-time interaction. Because multiple tests were conducted, p-values were adjusted using the Benjamini–Hochberg correction method. As the models were not fully independent, separate p-value corrections were applied for the main treatment effect and for the treatment-by-time interaction.
Blood pressure and pulse were also analysed using linear mixed-effects models. Systolic and diastolic blood pressure were modelled separately, and mean values as well as ranges were evaluated for both lying and standing positions. These analyses were considered independent and exploratory; therefore, p-value correction was applied separately from the analyses of well-being parameters.
Postoperative other symptoms were grouped and analysed using logistic regression to assess their occurrence after surgery. IV fluid volume was analysed using linear regression. In both models the above-mentioned covariates were included. P-values for both mental symptoms and fluid volume were corrected independently from the other outcome measures.
Stratifying patients by type of surgery was not pursued, as the resulting subgroup sizes would have been too small to yield reliable or meaningful results.
Results and Discussion
Patients
Ninety patients scheduled for elective total hip or knee arthroplasty participated in the clinical audit. Forty-five patients (25 with hip and 20 with knee surgery) were randomized to receive PCL, while 45 patients (25 with hip and 20 with knee surgery) were instructed to follow standard preoperative dietary management (control group).
Patients had a mean age of 67.1±8.1 years in the PCL group and 69.6±7.0 years in the control group. Of the PCL patients, 44%, while of the control patients, 40% were male. Mean BMI was 28.9±4.9 kg/m2 of PCL, and 30.6±6.0 kg/m2 of control patients. According to the American Society of Anesthesiologists (ASA) Physical Status Classification System, 8 of 45 patients (18%) were ASA grade I and 37 patients (82%) ASA grade II in the PCL group, while in the control group, 5 of 45 patients (11%) belonged to ASA grade I, 37 patients (82%) to ASA grade II, 2 patients (4%) to ASA grade III, and for 1 patient (2%) ASA grade information was missing. In the PCL group, 20 patients (44%), while in the control group, 22 patients (49%) had one or more serious underlying medical condition (e.g. hypertension, cancer, hypothyroidism, COPD, asthma, aortic valve replacement, former spinal surgery) at the time of pre-assessment. Gastrointestinal disorders (gastric ulcer, gastro-oesophageal reflux, irritable bowel syndrome, hemicolectomy, diverticulosis) was present in 3 patients (6.7%) in the PCL, and in 9 patients (20%) in the control group. Among PCL patients, 6 (13.3%), and in the control group, 4 patients (8.9%) suffered from some mental issues (e.g. anxiety, depression, low mood, panic attacks). No significant difference has been found in the initial patient characteristics between the PCL and the control groups (Table 1).
| PCL (n=45) | Control (n=45) | p | |
| Age, years ± SD | 67.1±8.1 | 69.6±7.0 | 0.120 |
| Gender male, n (%) | 20 (44) | 18 (40) | 0.831 |
| BMI kg/m2 ± SD | 28.9±4.9 | 30.6±6.0 | 0.162 |
| ASA grade, n (%)IIIIIIMissing | 8 (18)37 (82)00 | 5 (11)37 (82)2 (4)1 (2) | 0.262 |
| Underlying medical condition present, n (%) | 20 (44) | 22 (49) | 0.833 |
| Gastrointestinal condition present, n (%) | 3 (6.7) | 9 (20) | 0.121 |
| Mental condition present, n (%) | 6 (13.3) | 4 (8.9) | 0.737 |
Efficacy
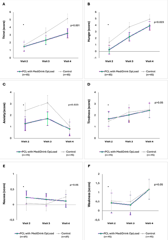
Of the well-being parameters, consumption of MediDrink OpLoad (PCL) prior to surgery significantly decreased thirst (p=0.001), hunger (p=0.023), and anxiety (p=0.023) compared to preoperative fasting (Figure2). Tiredness, nausea, and weakness were not significantly different between the PCL and the fasting groups (Figure 2).


Furthermore, PCL with MediDrink OpLoad significantly decreased the amount of postoperative IV fluids need compared to controls (1157 ± 418 ml vs 1441 ± 585 ml, p<0.001) (Figure 3). Symptoms of orthostatic hypotension, such as blurry vison, dizziness, light-headedness, tremor/muscle weakness, fainting, and mental confusion, at the first mobilisation were significantly less frequent after PCL with MediDrink OpLoad than after fasting (p=0.025).
Systolic and diastolic blood pressure and heart rate in standing and lying position showed no significant change with PCL compared to fasting.
Safety
Of the 45 patients receiving PCL with MediDrink OpLoad, 15 patients (33.3%) reported 21 adverse events (AE) in total at Visit 2 (1 hour after dinner in the evening the day before surgery), with 4 patients (8.9% of all PCL patients) reporting 2 AE, and 1 patient (2.2% of all PCL patients) experiencing 3 AE. One patient (2.2%) reported feeling fullness at Visit 3 (1 hour prior to surgery) - this patient reported feeling fullness at Visit 2 as well. The most common adverse event reported was feeling full (42.9% of all AE), followed by bloating (28.6% of all AE), burping (14.3% of all AE), flatulence (9.5% of all AE), and nausea (4.8% of all AE). All reported AE were deemed mild by the treating physicians. Since patients had dinner before Visit 2, the causative role of dinner for the reported AE cannot be ruled out. No death, serious, or other significant AE occurred during the PCL therapy with MediDrink OpLoad.
Adherence
Adherence to PCL with MediDrink OpLoad was 95.6% in the evening prior to surgery. No patient reported missed drinks, while adherence data were missing for 2 patients. All patient consumed the prescribed MediDrink OpLoad prior to surgery, adherence was reported as 100% at this timepoint.
In total, adherence to MediDrink OplOad was calculated as 97%, since missing data on adherence was considered as if the drinks had not been consumed.
Discussion
PCL has been shown to decrease postoperative insulin resistance [8,10,41,42], improve perioperative well-being [9,10], improve postoperative muscle loss [43,44], and function [45], decrease the rate of postoperative complications [46,47], and improve outcomes [45,48-51] in patients undergoing a wide variety of surgical procedures. Therefore, PCL is recommended by several non-ERAS and ERAS guidelines [11,13,14,16,18-25]. However, the disparity of PCL prescriptions [29,30] and of adherence to PCL [17,32-39] may result in decreased efficacy. Most commercially available PCL products contain a carbohydrate solution of 12.5%, therefore, the recommended intakes in the evening before surgery (800 ml to be consumed within 5 minutes) and in the morning prior to surgery (400 ml) are quite high [11,13,14,20,21,25]. The main barriers against PCL adherence are early satiety, hyperviscosity of the drinks, and low-rated taste (5.3/10) [35]. A study of 30 patients undergoing gastrointestinal surgery found that only 53% of patients who had received PCL were willing to take it again if indicated [52]. Therefore, a PCL FSMP with the same carbohydrate amount but decreased volume and improved taste may lead to higher adherence and thus better efficacy in surgical patients.
Our clinical audit demonstrated that the administration of MediDrink OpLoad, a low-volume-carbohydrate-rich FSMP, significantly reduced preoperative thirst, hunger and anxiety compared to standard fasting protocol. These results are consistent with a previous clinical trial of MediDrink OpLoad [53]. Moreover, a novel finding with the use of MediDrink OpLoad as PCL, namely, a significant reduction in postoperative IV fluid requirements was seen, similarly to a study with a carbohydrate drink in plastic surgery patients [54]. This finding may have special importance when due to resource constraints, IV fluids are not as readily available [54].
The symptoms of orthostatic hypotension, such as blurry vison, dizziness, light-headedness, tremor, muscle weakness, fainting, and mental confusion were significantly less frequent at the time of first postoperative mobilisation after PCL with MediDrink OpLoad than after standard dietary management. This finding indicates that PCL with MediDrink OpLoad may contribute to an easier mobilisation with less difficulties and complications in patients undergoing major orthopaedic surgery.
MediDrink OpLoad was safe to use, with 33.3% of PCL patients reporting a total of 21 AEs (fullness, bloating, burping, flatulence and nausea), all of which were considered mild by the treating physicians and did not significantly affect the procedure. Due to the lack of serious adverse events such as apparent or proven aspiration during or after procedure [55], PCL is generally considered safe despite some minor adverse events that may cause discomfort to patients.
Since the greatest barriers for adherence to PCL are early satiety, hyperviscosity of the drinks, and low-rated taste [35], MediDrink OpLoad was developed as a low-volume-high-carbohydrate FSMP, based not solely on maltodextrin, but on low-glycaemic-index isomaltulose and some saccharose that make the drink more palatable. Adherence to MediDrink OpLoad was high, 97%, since missing data on adherence in case of 2 patients were considered as if the drinks had not been consumed. This adherence rate is higher than the ones found in studies with other clear carbohydrate PCL products [17,32-39].
The so far highest adherence rate to PCL seen in this clinical audit may have a direct causative role in the improved well-being of patients and reduced symptoms of orthostatic hypotension. In addition, the reduction in intravenous fluid requirements can also represent cost savings for hospitals, even if the costs of PCL MediDrink OpLoad must be covered. While of the 12.5% PCL products 1200 ml should be procured (and consumed by the patient), only 600 ml of MediDrink OpLoad ensures the same PCL effect. However, determination of the financial aspects of PCL with MediDrink OpLoad would require further studies designed to analyse costs.
The main limitation of the present clinical audit is that no separate analyses were performed for hip and knee arthroplasty patients due to the relatively low number of individuals enrolled into the clinical audit.
Conclusion
The preoperative oral carbohydrate loading with MediDrink OpLoad resulted in high patient compliance rate and significantly improved patient well-being. Moreover, it reduced the incidence of postoperative orthostatic hypotension, and intravenous fluid requirements in patients with hip and knee replacement surgery. Based on these findings, MediDrink OpLoad may serve as an important and possibly cost-saving step in the preoperative management of major surgery patients.
Declarations
Data Availability
The data underlying the findings of this clinical audit are available upon request. The following e-mail address can be used for such requests: [email protected].
Conflicts of Interest
Edit Nádasi, and Gellért György Cseh are affiliated with Medifood International Trading Kft., part of the Medifood group that developed, manufactures, and holds marketing authorisation for MediDrink OpLoad FSMP.
Ferenc Tóth, György Lovász, Marco La Malfa, Attila Aros, Charles Ayekoloye, and Nawar Hilmi declare no conflict of interest regarding the publication of this clinical audit.
Authors' contributions
Ferenc Tóth, György Lovász, Marco La Malfa, Attila Aros, Gellért Cseh, and Edit Nádasi contributed to the development of the protocol.
Ferenc Tóth coordinated the clinical audit.
Ferenc Tóth, György Lovász, Charles Ayekoloye, and Nawar Hilmi performed data collection.
Ferenc Tóth, György Lovász, Gellért Cseh, and Edit Nádasi developed, finalized and proofread the manuscript.
Acknowledgement
We are particularly grateful to Elaine Bodle, Mandy Miller, Ruth Crofts, and Kelly Sampson for their invaluable work in the practical implementation of the audit. We express our gratitude to Laszlo Nemeth for the statistical analysis of the data.
Section
References
- Practice guidelines for preoperative fasting and the use of pharmacologic agents to reduce the risk of pulmonary aspiration: Application to healthy patients undergoing elective procedures: An updated report by the American Society of Anesthesiologists Task Force on preoperative fasting and the use of pharmacologic agents to reduce the risk of pulmonary aspiration. Anesthesiology 2017;126:376-93. DOI: 10.1097/aln.0000000000001452
- Pillinger NL, Robson JL, Kam PCA. Nutritional prehabilitation: physiological basis and clinical evidence. Anaesth Intensive Care 2018;46:5. DOI: 10.1177/0310057x1804600505
- Thorell A, Nygren J, Ljungqvist O. Insulin resistance: a marker of surgical stress. Curr Opin Clin Nutr Metab Care 1999;2:69-78. DOI: 10.1097/00075197-199901000-00012
- Faria MSM, de Aguilar-Nascimento JE, Pimenta OS, et al. Preoperative fasting of 2 hours minimizes insulin resistance and organic response to trauma after video-cholecystectomy: a randomized, controlled clinical trial. World J Surg 2009;33:1158-64. DOI: 10.1007/s00268-009-0010-x
- van den Berghe G, Wouters PJ, Bouillon R, et al. Outcome benefit of intensice insulin therapy in the critically ill: insulin dose versus glycemic control. Crit Care Med 2003;31:359-66. DOI: 10.1097/01.ccm.0000045568.12881.10
- Krinsley JS. Effect of an intensive glucose management protocol ont he mortality of critically ill adult patients. Mayo Clin Proc 2004;79:992-1000. DOI: 10.4065/79.8.992
- Kiran RP, Turina M, Hammel J, et al. The clinical significance of an elevated postoperative glucose value in nondiabetic patients after colorectal surgery: evidence for the need for tight glucose control? Ann Surg 2013;258:599-604. DOI: 10.1097/sla.0b013e3182a501e3
- Nygren J, Soop M, Thorell A, et al. Preoperative oral carbohydrate administration reduces postoperative insulin resistance. Clin Nutr 1998;17:65-71. DOI: 10.1016/s0261-5614(98)80307-5
- Hausel J, Nygren J, lagerkranser M, et al. A carbohydrate-rich drink reduces preoperative discomfort in elective surgery patients. Anesth Analg 2001;93:1344-50. DOI: 10.1097/00000539-200111000-00063
- Wang ZG, Wang Q, Wang WJ, et al. Randomized clinical trial to compare the effects of preoperative oral carbohydrate versus placebo on insulin resistance after colorectal surgery. Br J Surg 2010;97:317-27. DOI: 10.1002/bjs.6963
- Smith I, Kranke P, Murat I, et al. Perioperative fasting in adults and children: guidelines from the European Society of Anaethesiology. Eur J Anaesthesiol 2011;28:556-69. DOI: 10.1097/eja.0b013e3283495ba1
- Nygren J, Thorell A, Ljungqvist O. Preoperative oral carbohydrate nutrition: an update. Curr Opin Clin Nutr Metab Care 2001;4:255-9. DOI: 10.1097/00075197-200107000-00002
- Weimann A, Braga M, Carli F, et al. Clinical nutrition in surgery. Clin Nutr 2017;36:623-50. DOI: 10.1016/j.clnu.2017.02.013
- Weimann A, Braga M, Carli F, et al. ESPEN practical guideline: Clinical nutrition in surgery. Clin Nutr 2021;40:4745-61. DOI: 10.1016/j.clnu.2021.03.031
- Joshi GP, Abdelmalak BB, Weigel WA, et al. 2023 American Society of Anesthesiologists Practice Guidelines for Preoperative Fasting: Carbohydrate-containing clear liquids with or without protein, chewing gum, and pediatric fasting duration - a modular update of the 2017 American Society of Anesthesiologists Practice Guidelines for Preoperative Fasting. Anesthesiology 2023;138:132-51. DOI: 10.1097/aln.0000000000004381
- Wischmeyer PE, Carli F, Evans DC, et al. American Society for Enhanced Recovery and Perioperative Quality Initiative joint consensus statement on nutrition screening and therapy within a surgical enhanced recovery pathway. Anesth Analg 2018;126:1883-95. DOI: 10.1213/ane.0000000000003784
- ERAS Compliance Group. The impact of Enhanced Recovery Protocol compliance on elective colorectal cancer resection. Results from an international registry. Ann Surg 2015;261:1153-9. DOI: 10.1097/sla.0000000000001029
- Melloul E, Hübner M, Scott M, et al. Guidelines for perioperative care for liver surgery: Enhanced Recovery After Surgery (ERAS) Society recommendation. World J Surg 2016;40:2425-40. DOI: 10.1007/s00268-016-3700-1
- Melloul E, Lassen K, Roulin D, et al. Guidelines for perioperative care for pancreatoduodenectomy: Enhanced Recovery After Surgery (ERAS) recommendations. World J Surg 2020;44:2056-84. DOI: 10.1007/s00268-020-05462-w
- Feldheiser A, Aziz O, Baldini G, et al. Enhanced Recovery After Surgery (ERAS) for gastrointestinal surgery, part 2: consensus statement for anaesthesia practice. Acta Anaesth Scand 2016;60:289-334. DOI: 10.1111/aas.12651
- Gustafsson UO, Scott MJ, Hubner M, et al. Guidelines for Perioperative Care in Elective Colorectal Surgery: Enhanced Recovery After Surgery (ERAS) Society Recommendations: 2018. World J Surg 2019;43:659-95. DOI: 10.1007/s00268-018-4844-y
- Mortensen K, Nilsson M, Slim K, et al. Consensus guidelines for enhanced recovery after gastrectomy. Enhanced Recovery After Surgery (ERAS®) Society recommendations. Br J Surg 2014;101:1209-29. DOI: 10.1002/bjs.9582
- Nelson G, Bakkum-Gamez J, Kalogera E, et al. Guidelines for perioperative care in gynecologic/oncology: Enhanced Recovery After Surgery (ERAS) Society recommendations - 2019 update. Int J Gynecol Cancer 2019;29:651-68. DOI: 10.1136/ijgc-2019-000356
- Altman AD, Robert M, Armbrust R, et al. Guidelines for vulvar and vaginal surgery: Enhanced Recovery After Surgery Society recommendations. Am J Obstet Gynecol 2020;223:475-85. DOI: 10.1016/j.ajog.2020.07.039
- Hübner M, Kusamura S, Villeneuve L, et al. Guidelines for perioperative care in cytoreductive surgery (CRS) with or without hyperthermic IntraPEritoneal chemotherapy (HIPEC): Enhanced Recovery After Surgery (ERAS®) Society Recommendations - Part I: Preoperative and intraoperative management. Eur J Surg Oncol 2020;46:2292-310. DOI: 10.1016/j.ejso.2020.07.041
- Haselton SD, Chadayammuri VP, Emerson RH. Preoperative carbohydrate loading as part of an enhanced recovery after surgery (ERAS) protocol confers early postoperative benefits following elective total hip arthroplasty. Clin Nutr ESPEN 2025;68:602-7. DOI: 10.1016/j.clnesp.2025.05.049
- Choi YS, Cho BW, Kim HJ, et al. Effect of preoperative oral carbohydrates on insulin resistance in older adults who underwent total hip or knee arthroplasty: A prospective randomized trial. J Am Acad Orthop Surg 2022;30:971-8. DOI: 10.5435/jaaos-d-21-00656
- Chen X, Guo J. Preoperative oral carbohydrate for lower extremity arthroplasty: A systematic review and meta-analysis. J Arthroplasty 2025;40:2196-203.e1. DOI: 10.1016/j.arth.2025.01.045
- Pradhan A, Srinivasan A, Raj S, et al. A systematic review and meta-analysis of preoperative carbohydrate drink loading prior to elective hip and knee arthroplasty. J Clin Orthop Trauma 2025;63:102928. DOI: 10.1016/j.jcot.2025.102928
- Canelli RJ, Louca J, Gonzalez RM, et al. Trends in preoperative carbohydrate load practice: A systematic review. JPEN J Parenter Enteral Nutr 2024;48:527-37. DOI: 10.1002/jpen.2633
- Lee YM, Kim KE, Bae SU, et al. Safety and patient’s satisfaction of preoperative carbohydrate drink until 2 hours before colorectal cancer surgery: a single-center, prospective randomized controlled trial. Ann Coloproctol 2025;41:519-27. DOI: 10.3393/ac.2025.00521.0074
- Sun Z-j, Sun X, Huo Y, et al. Abbreviated perioperative fasting management for elective fresh fracture surgery: guideline adherence analysis. BMC Musculoskelet Disord 2022;23:688. DOI: 10.1186/s12891-022-05574-5
- Brethauer SA, Grieco A, Fraker T, et al. Employing Enhanced Recovery Goals in Bariatric Surgery (ENERGY): a national quality improvement project using the Metabolic and Bariatric Surgery Accreditation and Quality Improvement Program. Surg Obes Relat Dis 2019;15:1977-89. DOI: 10.1016/j.soard.2019.08.024
- Fagard K, Wolthuis A, Verhaegen M, et al. A retrospective observational study of enhanced recovery after surgery in older patients undergoing elective colorectal surgery. PLoS One 2020;15:e0232857. DOI: 10.1371/journal.pone.0232857
- McKenna DP, Sheahan M, McCourt M, et al. Compliance in preoperative carbohydrate loading for colorectal patients. Mesentery and Peritoneum 2021;5: AB015. SOH21AS043. DOI: 10.21037/map-21-ab015
- Braga M, Pecorelli N, Scatizzi M, et al. Enhanced Recovery Program in high-risk patients undergoing colorectal surgery: Results from the Perioperative Italian Society Registry. World J Surg 2017;41:860-7. DOI: 10.1007/s00268-016-3766-9
- Hayek J, Zorrilla-Vaca A, Meyer LA, et al. Patient outcomes and adherence to an enhanced recovery pathway for open gynecologic surgery: a 6-year single-center experience. Int J Gynecol Cancer 2022;32:1443-9. DOI: 10.1136/ijgc-2022-003840
- Laffin MR, Li S, Brosebois R, et al. The use of a pre-operative carbohydrate drink in patients with diabetes mellitus: A prospective, non-inferiority, cohort study. World J Surg 2018;42:1965-70. DOI: 10.1007/s00268-017-4413-9
- Festejo Villamiel KM, Yao C, Sioson M. Enhanced Recovery After Surgery (ERAS) outcomes in patients with prior diagnosis of diabetes. J ASEAN Fed Endocr Soc 2019;34:73-9. DOI: 10.15605/jafes.034.01.11
- Miglis MG, Muppidi S. Orthostatic hypotension: does the heart rate matter? And other updates on recent autonomic research. Clin Auton Res 2018;28:269-71. DOI: 10.1007/s10286-018-0532-0
- Nygren J, Soop M, Thorell A, et al. Preoperative oral carbohydrates and postoperative insulin resistance. Clin Nutr 1999;18:117-20. DOI: 10.1016/s0261-5614(99)80063-6
- Svanfeldt M, Thorell A, Hausel J, et al. Effect of ‘‘preoperative’’ oral carbohydrate treatment on insulin action - a randomised cross-over unblinded study in healthy subjects. Clin Nutr 2005;24:815-21. DOI: 10.1016/j.clnu.2005.05.002
- Yuill KA, Richardson RA, Davidson HIM, et al. The administration of an oral carbohydrate containing fluid prior to major elective upper-gastrointestinal surgery preserves skeletal muscle mass postoperatively - randomised clinical trial. Clin Nutr 2005;24:32-7. DOI: 10.1016/j.clnu.2004.06.009
- Svanfeldt M, Thorell A, Hausel J, et al. Randomized clinical trial of the effect of preoperative oral carbohydrate treatment on postoperative whole-body protein and glucose kinetics. Br J Surg 2007;94:1342-50. DOI: 10.1002/bjs.5919
- Liu B, Wang Y, Liu S, et al. A randomized controlled study of preoperative oral carbohydrate loading versus fasting in patients undergoing elective craniotomy. Clin Nutr 2019;38:2106-12. DOI: 10.1016/j.clnu.2018.11.008
- Loodin A, Hommel A. The effects of preoperative oral carbohydrate drinks on energy intake and postoperative complications after hip fracture surgery: A pilot study. Int J Orthop Trauma Nurs 2021;41:100834 DOI: 10.1016/j.ijotn.2020.100834
- Zhang T, Xiong X, Qin P, et al. The effect of preoperative oral carbohydrate on the incidence of complications in PACU after general anesthesia: A prospective cohort study. J Perianesth Nurs 2023;38:83-7. DOI: 10.1016/j.jopan.2022.05.072
- Kotfis K, Jamiol-Milc D, Skonieczna-Zydecka K, et al. The effect of preoperative carbohydrate loading on clinical and biochemical outcomes after cardiac surgery: A systematic review and meta-analysis of randomized trials. Nutrients 2020;12:3105. DOI: 10.3390/nu12103105
- Kumar SM, Anandhi A, Sureshkumar S, et al. Effect of preoperative oral carbohydrate loading on postoperative insulin resistance, patient-perceived well-being, and surgical outcomes in elective colorectal surgery: a randomized controlled trial. J Gastrointest Surg 2024;28:1654-60. DOI: 10.1016/j.gassur.2024.07.027
- Sanli D, Agartioglu Kundakci G, Katircioglu K, et al. The effects of preoperative carbohydrate loading on postoperative outcomes in neurosurgery: a systematic review and meta-analysis. BMC Anesthesiol 2025;25:575. DOI: 10.1186/s12871-025-03468-2
- Urkan M, Celebi C, Meral UM, et al. The effect of preoperative oral carbohydrate administration on postoperative glucometabolic response, subjective well being and quality of life in patients undergoing colorectal surgery: a randomized controlled double-blind study. BMC Surg 2025;25:376. DOI: 10.1186/s12893-025-03093-3
- Veziant J, Slim K. Patients’ willingness to drink carbohydrate liquids two hours before surgery. J Perioper Pract 2014;24:257-8. DOI: 10.1177/175045891402401104
- Enyedi A, Takács I, Győri F, et al. Effect of carbohydrate loading on the well-being of patients undergoing elective surgery. Int J Innov Res Med Sci (IJIRMS) 2022;7:504-9. DOI: 10.23958/ijirms/vol07-i10/1501
- Groth J, Ellor M, Pancake A, et al. Preoperative liquid carbohydrate loading in plastic surgery patients during an IV fluid shortage: A matched case-control study following hurricane Helene. Plast Reconstr Surg Glob Open 2025;13:e7205. DOI: 10.1097/gox.0000000000007205
- Bilku DK, Dennison Ar, Hall TC, et al. Role of preoperative carbohydrate loading: a systematic review. Ann R Coll Surg Engl 2014;96:15-22. DOI: 10.1308/003588414x13824511650614